方差的计算公式(方差的公式你能记住吗)

文章 4年前 (2021) 飞天叮当猫
655 0 0

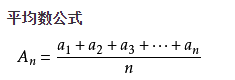
我们求方差之前,先要求平均数方差的计算公式(方差的公式你能记住吗)

平均数公式

得到平均数之后,再来求方差。

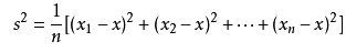
方差的计算公式(方差的公式你能记住吗)

方差公式

根据上面两个公式,请你做一下下面这道关于方差的中考真题吧!

方差的计算公式(方差的公式你能记住吗)方差的计算公式(方差的公式你能记住吗)方差的计算公式(方差的公式你能记住吗)方差的计算公式(方差的公式你能记住吗)方差的计算公式(方差的公式你能记住吗)方差的计算公式(方差的公式你能记住吗)方差的计算公式(方差的公式你能记住吗)方差的计算公式(方差的公式你能记住吗)方差的计算公式(方差的公式你能记住吗)方差的计算公式(方差的公式你能记住吗)方差的计算公式(方差的公式你能记住吗)

这道关于方差的中考题,你做对了吗?

喜欢本篇文章的朋友,请点击收藏、点赞、评论

如果你觉得本篇文章对你的朋友也有价值,请转发给你的朋友们!

如果你还想看更多的数学文章或者视频,请点击关注“小英数学”的头像。我以后再发表文章和视频时,你就可以在第一时间观看到了!

方差的计算公式(方差的公式你能记住吗)方差的计算公式(方差的公式你能记住吗)方差的计算公式(方差的公式你能记住吗)
版权声明:飞天叮当猫 发表于 2021年12月15日 下午8:16。
转载请注明:方差的计算公式(方差的公式你能记住吗) | 吾爱导航

相关文章

暂无评论

暂无评论...
如果您觉得本站有用! 可以按Ctrl+D收藏,或设置成浏览器主页。
登陆账号,开启永久个人书签收藏同步和便签功能。